带你一起学习高数,复习考研数学



答题版块(期末+考研)
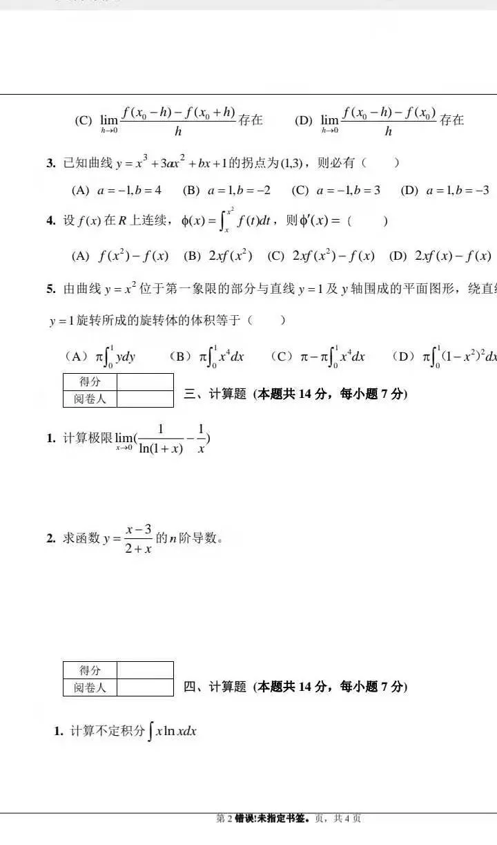
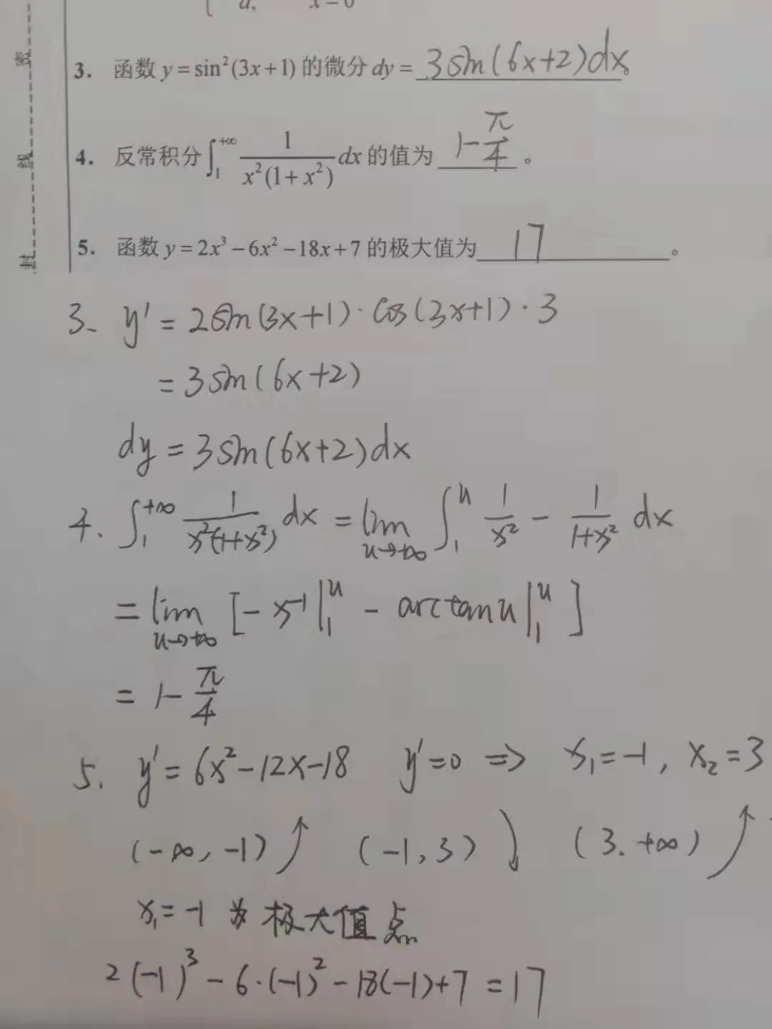
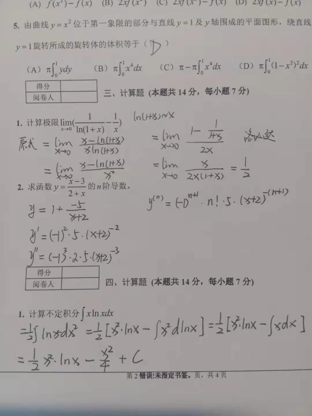
题目来自于微信好友,是青岛大学往年期末真题,高等数学第一学期期末试题,具体哪一年就不说了。




以上试题大家可以先尝试做一下
我做的结果仅供大家参考
总体上比山西大学的简单一些
(懒得用Latex打下来了,手写的,凑合着看吧)








注:本版块主要的作用和目的
题目来自于微信好友;
主要针对期末考试和考研数学,数学竞赛除外(太费脑),如果有问题可以通过微信以图片或者word形式发送给我;
目的是帮助大家更好的学习大学数学,理解知识点更加深刻,最终能拿一个好成绩;
本人提供一种思路作为参考,结果不一定是最好的,也可能出错,但抛砖引玉,希望同学们能够提供更好的解题方法;
觉得对你学习大学数学有帮助
那就赶紧把“高数君”推荐给你的小伙伴

- END -

公众号有以下功能:
课件查询,公式查询和视频资料下载
需要的同学,可以点击高数君图标,
进入公众号主页,点击下面相应菜单栏观看!



温馨提示:推广内容如有侵权请您告知我们会在第一时间处理或撤销;互联网是一个资源共享的生态圈,我们崇尚分享。转载仅供思考 不代表【高数君】立场
