青岛理工大学《Surf. & Coat. Technol.》| HiPIMS制备的低摩擦高耐腐蚀DLC-Si薄膜
随着海洋工程技术的快速发展,海洋工程装备在海水环境中的磨损与腐蚀问题日益突出,严重影响了设备的使用寿命。据统计,因磨损和腐蚀导致的机械部件失效占年度故障的80%以上。表面工程技术中的防护涂层,如类金刚石碳(Diamond-Like Carbon, DLC)薄膜,因其优异的机械性能、高耐磨性和化学稳定性受到广泛关注。然而,纯DLC薄膜存在内应力高、附着力差等问题,限制了其工业应用。通过掺杂非金属元素硅(Silicon, Si)可有效改善DLC薄膜的性能,但现有研究多集中于单一性能(如摩擦或腐蚀)的优化,缺乏在海水环境中综合性能的系统研究。
来自青岛理工大学等的研究人员通过HiPIMS技术,在304不锈钢基底上制备一系列不同硅含量的DLC-Si薄膜,系统评估硅含量对薄膜微观结构、力学性能、摩擦学性能及电化学腐蚀行为的影响,探索其在海水环境中的低摩擦、高耐腐蚀机制,为海洋工程装备的表面防护提供理论依据。相关成果于2025年12月31日以“Achieving low friction and high corrosion resistance DLC-Si films by HiPIMS”为题发表在《Surface & Coatings Technology》。
样品制备:
以304不锈钢为基底,通过HiPIMS技术依次沉积Cr过渡层、WC过渡层、WC/C渐变层和DLC-Si顶层。通过调节六甲基二硅氧烷(Hexamethyldisiloxane, HMDSO)流量(50、75、100 sccm)控制硅含量,制备的样品分别标记为Si50、Si75和Si100。
沉积过程中,基底温度设为180°C,偏压为-200 V,氩气流量为110 sccm,乙炔 C₂H₂流量为75 sccm。
图1. 多功能高密度等离子体应用平台原理图及DLC-Si薄膜沉积机制示意图。

图2. DLC-Si薄膜的截面和表面SEM形貌及其接触角:(a1, a4)Si50;(a2, a5)Si75;(a3, a6)Si100;(b):Si75薄膜的TEM截面结构、其截面EDS元素分布图及其HRTEM谱图;(c):DLC-Si薄膜的XRD结果;(d):DLC-Si薄膜的拉曼光谱结果:(d1)拉曼光谱;(d2)半高宽大小、G峰位置、ID/IG比值;(e):DLC-Si薄膜的XPS结果:(e1)XPS全谱;(e2)C 1s窄谱;(e3)Si 2p窄谱。
图3. 硅含量对DLC-Si薄膜力学性能的影响:(a)三种DLC-Si薄膜的压痕光学图像(a1)Si50, (a2)Si75, (a3)Si100;(b)载荷-压痕深度变化曲线;(c)硬度和弹性模量;(d)H/E和H³/E²值。
图4. 四种样品在(a1)空气和(a2)人工海水中的摩擦系数曲线;在(b1)空气和(b2)人工海水中摩擦磨损测试后的二维磨痕曲线;以及它们的(c1)平均摩擦系数、(c2)磨损体积、(c3)磨损率。
图5. 不同样品在不同环境中摩擦磨损测试后的磨痕SEM图像及其EDS结果(a,b,c):Si50, Si75, Si100;(abc(1,2)):空气环境下的磨痕形貌及EDS结果;(abc(3,4)):人工海水环境下的磨痕形貌及EDS结果。
图6. 在空气(b)和人工海水(c)环境下的摩擦磨损机制示意图。
图7. 四种样品在人工海水环境中的(a)奈奎斯特图、(b)波德相位图、(c)波德振幅图及(d)等效电路模型;腐蚀后(e-g)Si50, Si75, Si100薄膜表面的SEM图像。
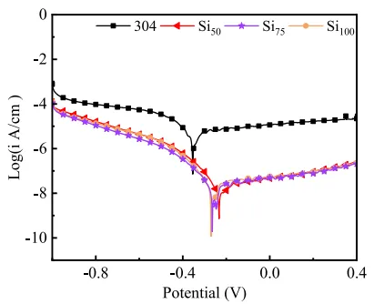
图8. 四种样品在人工海水中的极化曲线。
图9. 304基底和DLC-Si薄膜的腐蚀机制示意图。
研究结论:
1、微观结构与力学性能:
HiPIMS技术制备的DLC-Si薄膜结构致密无缺陷。适量硅掺杂(Si75)可促进薄膜石墨化,释放内应力,使附着力达到HF1级,但硬度略有下降。XPS和拉曼光谱表明,硅以Si-C、Si-O和Si-O-C键形式存在,硅含量增加会导致sp²键簇数量和尺寸变化,影响薄膜的碳网络结构。
2、摩擦学性能:
在海水环境中,所有DLC-Si薄膜均表现出低于空气环境的摩擦系数。Si75薄膜因高石墨化度和界面形成水合硅胶(SiOx(OH)y)润滑层,表现出最低的平均摩擦系数(0.084)和磨损率(2.124×10⁻⁷ mm³/(N·m))。硅掺杂通过改变摩擦化学行为和塑性转移特性,在界面形成类聚合物转移膜,进一步提升耐磨性。
3、腐蚀抵抗性能:
DLC-Si薄膜的致密结构和硅掺杂形成的SiOx钝化膜有效阻隔了离子渗透。Si75薄膜具有最低腐蚀电流密度(3.397×10⁻⁸ A/cm²)和最高电荷转移电阻(4.401×10⁶ Ω·cm²),其耐腐蚀性比304不锈钢提高三个数量级。
该研究证实,通过HiPIMS技术制备的、具有适中硅含量(约9.26 at.%)的DLC-Si薄膜,同时具备了低内应力、良好附着力、超低摩擦系数、高耐磨性和高耐腐蚀性。同时,HiPIMS技术摆脱了PECVD可能存在的化学反应和温度限制。通过使用HMDSO和C₂H₂作为气态前驱体,无需固体硅靶,实现了灵活的硅掺杂。
这种优异的综合性能使其成为延长海水环境中运动部件服役寿命的理想表面防护材料,为海洋工程装备的表面强化提供了坚实的理论依据和技术方案。
论文链接:
https://doi.org/10.1016/j.surfcoat.2025.133148