当前位置:首页>青岛>IF10.6+双区TOP!青岛大学以CHARLS数据为支撑,揭示AIP高血压预测价值!

IF10.6+双区TOP!青岛大学以CHARLS数据为支撑,揭示AIP高血压预测价值!

  • 2026-04-16 08:18:27
IF10.6+双区TOP!青岛大学以CHARLS数据为支撑,揭示AIP高血压预测价值!

点击蓝字 关注我吧

🌟高血压是全球高发心血管疾病,长期失控可诱发多器官损伤,给公共卫生带来沉重负担,早期识别高风险人群并干预至关重要。血浆动脉粥样生成指数(AIP)作为新型脂质代谢指标,与胰岛素抵抗、心血管疾病密切相关,但它与不同血压状态人群高血压发生率的关联尚未被充分阐明。

🌟现有研究缺乏大规模队列数据支撑,且对二者关联模式探讨不足。本研究依托CHARLS队列9年随访数据,探究AIP对正常及升高血压人群高血压发生的预测价值,为高血压风险分层与早期防控提供科学依据。

(想用charls发高分SCI,关注“走进生信”联系后台小助手,助力冲刺科研梦想!)

研究见解

目前关于这个话题了解多少?

高血压是最常见的心血管疾病之一。AIP是一种新的脂质代谢指标,与胰岛素抵抗和心血管疾病有关。目前尚不清楚AIP与高血压发生之间的关联,尤其是在不同血压状态的人群中。

关键研究问题是什么?

不同血压状态的人群中,AIP与高血压发生的关联是否相似?

有什么新鲜事?

AIP可用于预测高血压的发生。

我们的研究表明,AIP与高血压发生之间存在非线性关系,这适用于血压正常和高血压患者。

这项研究将如何影响临床实践?

AIP可用于预测高血压风险,从而实现对高风险人群的早期干预,从而减轻高血压负担。

文献分享

中文标题:《不同血压状态下血浆动脉粥样状反应指数与发发性高血压的关联:一项全国队列研究》

发表期刊:Comparative Study

发表时间:2025年5月21日

影响因子:10.6(中科院一区)

文章亮点

①队列优势显著:依托全国性CHARLS队列,6540名受试者9年随访,样本具代表性,填补大规模纵向数据空白。

②分层研究精准:按正常、升高血压状态分层,明确AIP在不同人群的预测作用,突破既往研究局限。

③关联模式新颖:证实AIP与高血压发生呈非线性关联及阈值效应,丰富二者关联认知。

④临床价值突出:AIP预测效能优于单一脂质指标,对45-60岁正常血压人群价值更高,助力精准干预。

研究目标-

明确血浆动脉粥样生成指数(AIP)与不同血压状态(正常、升高)人群高血压发生率的关联及模式,验证AIP对高血压发生的预测价值,为临床高血压风险分层与早期防控提供依据。

数据来源-

数据来源于中国健康与退休纵向研究(CHARLS),纳入2011年基线调查、2020年随访完成的45岁及以上参与者,最终6540名受试者(4354名正常血压、2186名血压升高)纳入分析。

研究方法-

研究设计与对象筛选:

采用回顾性队列研究,以2011年CHARLS基线参与者为研究对象,随访至2020年,排除血压、血脂数据缺失及随访失联者,最终纳入6540名受试者。

图1,本研究流程图

AIP计算与变量定义:

AIP通过公式log₁₀[TG(mmol/L)/HDL-C(mmol/L)]计算;高血压以随访期医生诊断自报为准,协变量含人口学、生活方式及共病情况。

统计分析方法:

采用逻辑回归模型分析AIP与高血压的关联,受限三次样条模型验证非线性关系,阈值分析明确临界值;ROC曲线评估预测效能,亚组及敏感性分析验证结果稳定性。

图形摘要

点击上方名片,关注走进生信,带你探索科研领域!

研究结果

01

参与者特征

👉本研究纳入2011年CHARLS基线6540名参与者,平均年龄56岁,男性占46.12%,其中正常血压者4354人(66.57%),血压升高者2186人(33.43%)。与正常血压组相比,血压升高组男性、农村居民比例及糖尿病患病率更高,BMI、收缩压、舒张压均显著偏高(均P<0.05),其余特征无统计学差异,详细信息见表1。

表1 2011年本研究所包含人群的基本特征

总结:

血压升高组较正常血压组,男性占比、BMI、血压及糖尿病患病率更高,存在显著统计学差异,其余特征相近。

02

与高血压发生相关的特征

👉9年随访后,6540名参与者中1909人(29.19%)新发高血压。与非高血压组相比,新发高血压组平均年龄、BMI、收缩压及舒张压均更高,农村居民比例更高,教育水平偏低。同时,其心脏病、哮喘患病率更高,消化系统疾病比例更低,且AIP水平显著偏高(0.00对−0.09,P<0.001),具体特征见表2。

表2 基于2011年数据的患病人群特征

总结:

新发高血压组AIP及年龄、BMI、血压水平更高,农村居民及心脏病、哮喘患病率更高,差异具统计学意义。

03

基于AIP预测高血压发生的逻辑回归模型

👉本研究为正常及血压升高人群分别构建三组逻辑回归模型,模型1未调整,模型2调整年龄等5项因素,模型3进一步纳入SBP、居住区等多变量。结果显示,两组AIP均为高血压发生独立风险因子(均P<0.001),正常血压组OR值依次为2.01、2.23、1.84,血压升高组为1.84、1.81、1.88;AIP四分位数分析中Q3、Q4组与高血压发生相关(均P<0.05),详见图2。

图2展示了两组的回归模型。

总结:

AIP是两类血压人群高血压发生的独立风险因子,经多变量调整后关联仍显著,高AIP四分位数组风险更高。

04

SHR 联合高血压对社区人群中风风险的预测价值

👉本研究采用多变量调整的受限三次样条模型,证实AIP与高血压发生率在总人群(P非线性=0.001)、正常血压组(P非线性=0.031)及血压升高组(P非线性=0.008)均呈非线性关系(见图3)。阈值效应分析显示,AIP存在阈值−0.43(似然检验P=0.017),低于该值无关联,高于则呈正相关(OR=2.35,95%CI 1.91–2.88,P<0.001),详见表3。

图3,受限三次样条模型。

表3 使用两段逻辑回归分析AIP对高血压的阈值效应分析

总结:

AIP与高血压发生率呈非线性关联且存在阈值−0.43,高于该值AIP与高血压发生正相关,关联具统计学意义。

05

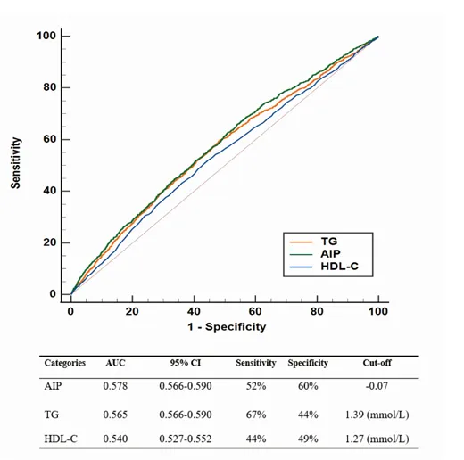
AIP预测高血压发生的能力

👉本研究通过ROC曲线分析评估AIP对高血压的预测能力,将其与TG、HDL-C单一指标对比,Delong检验显示AIP预测效能更优(见表4、图4)。同时比较三组逻辑回归模型的ROC曲线(见图5),结果表明纳入更多临床因素后模型预测能力显著提升,其中调整最全面的模型3表现最佳。

图4,接受者作特征分析

表4 ROC曲线的配对比较(DeLong检验)

图5,接受者工作特征分析比较三种逻辑回归模型的预测能力

总结:

AIP预测高血压的能力优于TG、HDL-C单一指标,纳入多临床因素的模型3预测效能达到最优。

06

子组分析

👉本研究针对正常及血压升高人群,按性别、年龄、BMI等多变量分组进行亚组分析。结果显示,正常血压组中年龄与AIP存在显著交互作用(P交互=0.008),45-60岁人群OR值为2.55(95%CI 1.99-3.28),AIP预测效果更强;60岁以上人群OR为1.45,影响较弱(见图6)。血压升高组各亚组无显著交互作用(均P>0.05),具体关联见图7。

图6,对血压正常个体进行了亚组分析

图7,对血压升高个体进行了亚组分析

总结:

正常血压组中年龄与AIP存在交互作用,45-60岁人群AIP预测高血压效果最优,血压升高组无显著交互作用。

07

敏感性分析

👉为降低自我报告数据带来的偏倚,本研究采用更严格的纳入标准筛选研究对象,重新纳入人群的特征详见补充材料1。基于新人群重建受限三次样条模型,结果显示AIP与高血压发生率的非线性关系依然存在,在整体人群(见图8a)及正常血压个体(见图8b)中均稳定呈现,进一步验证了核心结果的可靠性。

图8,基于血压测量定义的人群重新建立了受限立方样条模型。

总结:

正常血压组中年龄与AIP存在交互作用,45-60岁人群AIP预测高血压效果最优,血压升高组无显著交互作用。

创新点!

依托全国性CHARLS队列9年随访数据,首次在正常及升高血压分层人群中,证实AIP与高血压发生的非线性关联及−0.43的阈值效应。

明确AIP预测效能优于TG、HDL-C单一指标,且在45-60岁正常血压人群中价值最优,为精准风险分层提供新依据,填补分层研究缺口。

局限性!

高血压诊断依赖自我报告数据,可能存在信息偏倚,虽经敏感性分析验证仍无法完全规避。

样本仅限中国45岁及以上人群,结果外推至其他人群需谨慎。未纳入遗传背景、体育活动等潜在混杂因素,且缺乏降脂、降压药物使用信息,可能影响关联准确性。

结语

Conclusion

🌟本研究依托CHARLS队列证实,AIP是高血压发生的独立风险因子,与不同血压状态人群呈非线性关联且存在−0.43阈值,预测效能优于单一脂质指标,对45-60岁正常血压人群价值突出。

🌟研究为高血压精准风险分层及早期干预提供新依据,但存在自我报告偏倚、样本局限等不足。未来需补充客观诊断数据与多因素分析,进一步验证结论,推动AIP在临床防控中的应用。

(想用charls发高分SCI,关注“走进生信”联系后台小助手,助力冲刺科研梦想!)

END

走进生信

提供思路、选题设计方案评估、数据挖掘纯生信分析!

点赞

分享

喜欢

留言

01

IF10.6!恭喜中南大学再攀高峰!《CHARLS》数据库加持,3 图 4 表斩获双区 TOP!

02

F10.6!CHARLS 队列再添新功!南昌大学强势登陆双一区期刊!

03

IF10.0!恭喜哈医大团队!以GBD + 孟德尔随机化双 buff!斩获双一区!

最新文章

随机文章

基本 文件 流程 错误 SQL 调试
  1. 请求信息 : 2026-04-18 00:12:15 HTTP/2.0 GET : https://g.460.net.cn/a/462384.html
  2. 运行时间 : 0.083029s [ 吞吐率:12.04req/s ] 内存消耗:4,329.05kb 文件加载:140
  3. 缓存信息 : 0 reads,0 writes
  4. 会话信息 : SESSION_ID=89175257e6816abf5a2d3b35c1430103
  1. /yingpanguazai/ssd/ssd1/www/g.460.net.cn/public/index.php ( 0.79 KB )
  2. /yingpanguazai/ssd/ssd1/www/g.460.net.cn/vendor/autoload.php ( 0.17 KB )
  3. /yingpanguazai/ssd/ssd1/www/g.460.net.cn/vendor/composer/autoload_real.php ( 2.49 KB )
  4. /yingpanguazai/ssd/ssd1/www/g.460.net.cn/vendor/composer/platform_check.php ( 0.90 KB )
  5. /yingpanguazai/ssd/ssd1/www/g.460.net.cn/vendor/composer/ClassLoader.php ( 14.03 KB )
  6. /yingpanguazai/ssd/ssd1/www/g.460.net.cn/vendor/composer/autoload_static.php ( 4.90 KB )
  7. /yingpanguazai/ssd/ssd1/www/g.460.net.cn/vendor/topthink/think-helper/src/helper.php ( 8.34 KB )
  8. /yingpanguazai/ssd/ssd1/www/g.460.net.cn/vendor/topthink/think-validate/src/helper.php ( 2.19 KB )
  9. /yingpanguazai/ssd/ssd1/www/g.460.net.cn/vendor/topthink/think-orm/src/helper.php ( 1.47 KB )
  10. /yingpanguazai/ssd/ssd1/www/g.460.net.cn/vendor/topthink/think-orm/stubs/load_stubs.php ( 0.16 KB )
  11. /yingpanguazai/ssd/ssd1/www/g.460.net.cn/vendor/topthink/framework/src/think/Exception.php ( 1.69 KB )
  12. /yingpanguazai/ssd/ssd1/www/g.460.net.cn/vendor/topthink/think-container/src/Facade.php ( 2.71 KB )
  13. /yingpanguazai/ssd/ssd1/www/g.460.net.cn/vendor/symfony/deprecation-contracts/function.php ( 0.99 KB )
  14. /yingpanguazai/ssd/ssd1/www/g.460.net.cn/vendor/symfony/polyfill-mbstring/bootstrap.php ( 8.26 KB )
  15. /yingpanguazai/ssd/ssd1/www/g.460.net.cn/vendor/symfony/polyfill-mbstring/bootstrap80.php ( 9.78 KB )
  16. /yingpanguazai/ssd/ssd1/www/g.460.net.cn/vendor/symfony/var-dumper/Resources/functions/dump.php ( 1.49 KB )
  17. /yingpanguazai/ssd/ssd1/www/g.460.net.cn/vendor/topthink/think-dumper/src/helper.php ( 0.18 KB )
  18. /yingpanguazai/ssd/ssd1/www/g.460.net.cn/vendor/symfony/var-dumper/VarDumper.php ( 4.30 KB )
  19. /yingpanguazai/ssd/ssd1/www/g.460.net.cn/vendor/topthink/framework/src/think/App.php ( 15.30 KB )
  20. /yingpanguazai/ssd/ssd1/www/g.460.net.cn/vendor/topthink/think-container/src/Container.php ( 15.76 KB )
  21. /yingpanguazai/ssd/ssd1/www/g.460.net.cn/vendor/psr/container/src/ContainerInterface.php ( 1.02 KB )
  22. /yingpanguazai/ssd/ssd1/www/g.460.net.cn/app/provider.php ( 0.19 KB )
  23. /yingpanguazai/ssd/ssd1/www/g.460.net.cn/vendor/topthink/framework/src/think/Http.php ( 6.04 KB )
  24. /yingpanguazai/ssd/ssd1/www/g.460.net.cn/vendor/topthink/think-helper/src/helper/Str.php ( 7.29 KB )
  25. /yingpanguazai/ssd/ssd1/www/g.460.net.cn/vendor/topthink/framework/src/think/Env.php ( 4.68 KB )
  26. /yingpanguazai/ssd/ssd1/www/g.460.net.cn/app/common.php ( 0.03 KB )
  27. /yingpanguazai/ssd/ssd1/www/g.460.net.cn/vendor/topthink/framework/src/helper.php ( 18.78 KB )
  28. /yingpanguazai/ssd/ssd1/www/g.460.net.cn/vendor/topthink/framework/src/think/Config.php ( 5.54 KB )
  29. /yingpanguazai/ssd/ssd1/www/g.460.net.cn/config/app.php ( 0.95 KB )
  30. /yingpanguazai/ssd/ssd1/www/g.460.net.cn/config/cache.php ( 0.78 KB )
  31. /yingpanguazai/ssd/ssd1/www/g.460.net.cn/config/console.php ( 0.23 KB )
  32. /yingpanguazai/ssd/ssd1/www/g.460.net.cn/config/cookie.php ( 0.56 KB )
  33. /yingpanguazai/ssd/ssd1/www/g.460.net.cn/config/database.php ( 2.47 KB )
  34. /yingpanguazai/ssd/ssd1/www/g.460.net.cn/vendor/topthink/framework/src/think/facade/Env.php ( 1.67 KB )
  35. /yingpanguazai/ssd/ssd1/www/g.460.net.cn/config/filesystem.php ( 0.61 KB )
  36. /yingpanguazai/ssd/ssd1/www/g.460.net.cn/config/lang.php ( 0.91 KB )
  37. /yingpanguazai/ssd/ssd1/www/g.460.net.cn/config/log.php ( 1.35 KB )
  38. /yingpanguazai/ssd/ssd1/www/g.460.net.cn/config/middleware.php ( 0.19 KB )
  39. /yingpanguazai/ssd/ssd1/www/g.460.net.cn/config/route.php ( 1.89 KB )
  40. /yingpanguazai/ssd/ssd1/www/g.460.net.cn/config/session.php ( 0.57 KB )
  41. /yingpanguazai/ssd/ssd1/www/g.460.net.cn/config/trace.php ( 0.34 KB )
  42. /yingpanguazai/ssd/ssd1/www/g.460.net.cn/config/view.php ( 0.82 KB )
  43. /yingpanguazai/ssd/ssd1/www/g.460.net.cn/app/event.php ( 0.25 KB )
  44. /yingpanguazai/ssd/ssd1/www/g.460.net.cn/vendor/topthink/framework/src/think/Event.php ( 7.67 KB )
  45. /yingpanguazai/ssd/ssd1/www/g.460.net.cn/app/service.php ( 0.13 KB )
  46. /yingpanguazai/ssd/ssd1/www/g.460.net.cn/app/AppService.php ( 0.26 KB )
  47. /yingpanguazai/ssd/ssd1/www/g.460.net.cn/vendor/topthink/framework/src/think/Service.php ( 1.64 KB )
  48. /yingpanguazai/ssd/ssd1/www/g.460.net.cn/vendor/topthink/framework/src/think/Lang.php ( 7.35 KB )
  49. /yingpanguazai/ssd/ssd1/www/g.460.net.cn/vendor/topthink/framework/src/lang/zh-cn.php ( 13.70 KB )
  50. /yingpanguazai/ssd/ssd1/www/g.460.net.cn/vendor/topthink/framework/src/think/initializer/Error.php ( 3.31 KB )
  51. /yingpanguazai/ssd/ssd1/www/g.460.net.cn/vendor/topthink/framework/src/think/initializer/RegisterService.php ( 1.33 KB )
  52. /yingpanguazai/ssd/ssd1/www/g.460.net.cn/vendor/services.php ( 0.14 KB )
  53. /yingpanguazai/ssd/ssd1/www/g.460.net.cn/vendor/topthink/framework/src/think/service/PaginatorService.php ( 1.52 KB )
  54. /yingpanguazai/ssd/ssd1/www/g.460.net.cn/vendor/topthink/framework/src/think/service/ValidateService.php ( 0.99 KB )
  55. /yingpanguazai/ssd/ssd1/www/g.460.net.cn/vendor/topthink/framework/src/think/service/ModelService.php ( 2.04 KB )
  56. /yingpanguazai/ssd/ssd1/www/g.460.net.cn/vendor/topthink/think-trace/src/Service.php ( 0.77 KB )
  57. /yingpanguazai/ssd/ssd1/www/g.460.net.cn/vendor/topthink/framework/src/think/Middleware.php ( 6.72 KB )
  58. /yingpanguazai/ssd/ssd1/www/g.460.net.cn/vendor/topthink/framework/src/think/initializer/BootService.php ( 0.77 KB )
  59. /yingpanguazai/ssd/ssd1/www/g.460.net.cn/vendor/topthink/think-orm/src/Paginator.php ( 11.86 KB )
  60. /yingpanguazai/ssd/ssd1/www/g.460.net.cn/vendor/topthink/think-validate/src/Validate.php ( 63.20 KB )
  61. /yingpanguazai/ssd/ssd1/www/g.460.net.cn/vendor/topthink/think-orm/src/Model.php ( 23.55 KB )
  62. /yingpanguazai/ssd/ssd1/www/g.460.net.cn/vendor/topthink/think-orm/src/model/concern/Attribute.php ( 21.05 KB )
  63. /yingpanguazai/ssd/ssd1/www/g.460.net.cn/vendor/topthink/think-orm/src/model/concern/AutoWriteData.php ( 4.21 KB )
  64. /yingpanguazai/ssd/ssd1/www/g.460.net.cn/vendor/topthink/think-orm/src/model/concern/Conversion.php ( 6.44 KB )
  65. /yingpanguazai/ssd/ssd1/www/g.460.net.cn/vendor/topthink/think-orm/src/model/concern/DbConnect.php ( 5.16 KB )
  66. /yingpanguazai/ssd/ssd1/www/g.460.net.cn/vendor/topthink/think-orm/src/model/concern/ModelEvent.php ( 2.33 KB )
  67. /yingpanguazai/ssd/ssd1/www/g.460.net.cn/vendor/topthink/think-orm/src/model/concern/RelationShip.php ( 28.29 KB )
  68. /yingpanguazai/ssd/ssd1/www/g.460.net.cn/vendor/topthink/think-helper/src/contract/Arrayable.php ( 0.09 KB )
  69. /yingpanguazai/ssd/ssd1/www/g.460.net.cn/vendor/topthink/think-helper/src/contract/Jsonable.php ( 0.13 KB )
  70. /yingpanguazai/ssd/ssd1/www/g.460.net.cn/vendor/topthink/think-orm/src/model/contract/Modelable.php ( 0.09 KB )
  71. /yingpanguazai/ssd/ssd1/www/g.460.net.cn/vendor/topthink/framework/src/think/Db.php ( 2.88 KB )
  72. /yingpanguazai/ssd/ssd1/www/g.460.net.cn/vendor/topthink/think-orm/src/DbManager.php ( 8.52 KB )
  73. /yingpanguazai/ssd/ssd1/www/g.460.net.cn/vendor/topthink/framework/src/think/Log.php ( 6.28 KB )
  74. /yingpanguazai/ssd/ssd1/www/g.460.net.cn/vendor/topthink/framework/src/think/Manager.php ( 3.92 KB )
  75. /yingpanguazai/ssd/ssd1/www/g.460.net.cn/vendor/psr/log/src/LoggerTrait.php ( 2.69 KB )
  76. /yingpanguazai/ssd/ssd1/www/g.460.net.cn/vendor/psr/log/src/LoggerInterface.php ( 2.71 KB )
  77. /yingpanguazai/ssd/ssd1/www/g.460.net.cn/vendor/topthink/framework/src/think/Cache.php ( 4.92 KB )
  78. /yingpanguazai/ssd/ssd1/www/g.460.net.cn/vendor/psr/simple-cache/src/CacheInterface.php ( 4.71 KB )
  79. /yingpanguazai/ssd/ssd1/www/g.460.net.cn/vendor/topthink/think-helper/src/helper/Arr.php ( 16.63 KB )
  80. /yingpanguazai/ssd/ssd1/www/g.460.net.cn/vendor/topthink/framework/src/think/cache/driver/File.php ( 7.84 KB )
  81. /yingpanguazai/ssd/ssd1/www/g.460.net.cn/vendor/topthink/framework/src/think/cache/Driver.php ( 9.03 KB )
  82. /yingpanguazai/ssd/ssd1/www/g.460.net.cn/vendor/topthink/framework/src/think/contract/CacheHandlerInterface.php ( 1.99 KB )
  83. /yingpanguazai/ssd/ssd1/www/g.460.net.cn/app/Request.php ( 0.09 KB )
  84. /yingpanguazai/ssd/ssd1/www/g.460.net.cn/vendor/topthink/framework/src/think/Request.php ( 55.78 KB )
  85. /yingpanguazai/ssd/ssd1/www/g.460.net.cn/app/middleware.php ( 0.25 KB )
  86. /yingpanguazai/ssd/ssd1/www/g.460.net.cn/vendor/topthink/framework/src/think/Pipeline.php ( 2.61 KB )
  87. /yingpanguazai/ssd/ssd1/www/g.460.net.cn/vendor/topthink/think-trace/src/TraceDebug.php ( 3.40 KB )
  88. /yingpanguazai/ssd/ssd1/www/g.460.net.cn/vendor/topthink/framework/src/think/middleware/SessionInit.php ( 1.94 KB )
  89. /yingpanguazai/ssd/ssd1/www/g.460.net.cn/vendor/topthink/framework/src/think/Session.php ( 1.80 KB )
  90. /yingpanguazai/ssd/ssd1/www/g.460.net.cn/vendor/topthink/framework/src/think/session/driver/File.php ( 6.27 KB )
  91. /yingpanguazai/ssd/ssd1/www/g.460.net.cn/vendor/topthink/framework/src/think/contract/SessionHandlerInterface.php ( 0.87 KB )
  92. /yingpanguazai/ssd/ssd1/www/g.460.net.cn/vendor/topthink/framework/src/think/session/Store.php ( 7.12 KB )
  93. /yingpanguazai/ssd/ssd1/www/g.460.net.cn/vendor/topthink/framework/src/think/Route.php ( 23.73 KB )
  94. /yingpanguazai/ssd/ssd1/www/g.460.net.cn/vendor/topthink/framework/src/think/route/RuleName.php ( 5.75 KB )
  95. /yingpanguazai/ssd/ssd1/www/g.460.net.cn/vendor/topthink/framework/src/think/route/Domain.php ( 2.53 KB )
  96. /yingpanguazai/ssd/ssd1/www/g.460.net.cn/vendor/topthink/framework/src/think/route/RuleGroup.php ( 22.43 KB )
  97. /yingpanguazai/ssd/ssd1/www/g.460.net.cn/vendor/topthink/framework/src/think/route/Rule.php ( 26.95 KB )
  98. /yingpanguazai/ssd/ssd1/www/g.460.net.cn/vendor/topthink/framework/src/think/route/RuleItem.php ( 9.78 KB )
  99. /yingpanguazai/ssd/ssd1/www/g.460.net.cn/route/app.php ( 1.72 KB )
  100. /yingpanguazai/ssd/ssd1/www/g.460.net.cn/vendor/topthink/framework/src/think/facade/Route.php ( 4.70 KB )
  101. /yingpanguazai/ssd/ssd1/www/g.460.net.cn/vendor/topthink/framework/src/think/route/dispatch/Controller.php ( 4.74 KB )
  102. /yingpanguazai/ssd/ssd1/www/g.460.net.cn/vendor/topthink/framework/src/think/route/Dispatch.php ( 10.44 KB )
  103. /yingpanguazai/ssd/ssd1/www/g.460.net.cn/app/controller/Index.php ( 4.81 KB )
  104. /yingpanguazai/ssd/ssd1/www/g.460.net.cn/app/BaseController.php ( 2.05 KB )
  105. /yingpanguazai/ssd/ssd1/www/g.460.net.cn/vendor/topthink/think-orm/src/facade/Db.php ( 0.93 KB )
  106. /yingpanguazai/ssd/ssd1/www/g.460.net.cn/vendor/topthink/think-orm/src/db/connector/Mysql.php ( 5.44 KB )
  107. /yingpanguazai/ssd/ssd1/www/g.460.net.cn/vendor/topthink/think-orm/src/db/PDOConnection.php ( 52.47 KB )
  108. /yingpanguazai/ssd/ssd1/www/g.460.net.cn/vendor/topthink/think-orm/src/db/Connection.php ( 8.39 KB )
  109. /yingpanguazai/ssd/ssd1/www/g.460.net.cn/vendor/topthink/think-orm/src/db/ConnectionInterface.php ( 4.57 KB )
  110. /yingpanguazai/ssd/ssd1/www/g.460.net.cn/vendor/topthink/think-orm/src/db/builder/Mysql.php ( 16.58 KB )
  111. /yingpanguazai/ssd/ssd1/www/g.460.net.cn/vendor/topthink/think-orm/src/db/Builder.php ( 24.06 KB )
  112. /yingpanguazai/ssd/ssd1/www/g.460.net.cn/vendor/topthink/think-orm/src/db/BaseBuilder.php ( 27.50 KB )
  113. /yingpanguazai/ssd/ssd1/www/g.460.net.cn/vendor/topthink/think-orm/src/db/Query.php ( 15.71 KB )
  114. /yingpanguazai/ssd/ssd1/www/g.460.net.cn/vendor/topthink/think-orm/src/db/BaseQuery.php ( 45.13 KB )
  115. /yingpanguazai/ssd/ssd1/www/g.460.net.cn/vendor/topthink/think-orm/src/db/concern/TimeFieldQuery.php ( 7.43 KB )
  116. /yingpanguazai/ssd/ssd1/www/g.460.net.cn/vendor/topthink/think-orm/src/db/concern/AggregateQuery.php ( 3.26 KB )
  117. /yingpanguazai/ssd/ssd1/www/g.460.net.cn/vendor/topthink/think-orm/src/db/concern/ModelRelationQuery.php ( 20.07 KB )
  118. /yingpanguazai/ssd/ssd1/www/g.460.net.cn/vendor/topthink/think-orm/src/db/concern/ParamsBind.php ( 3.66 KB )
  119. /yingpanguazai/ssd/ssd1/www/g.460.net.cn/vendor/topthink/think-orm/src/db/concern/ResultOperation.php ( 7.01 KB )
  120. /yingpanguazai/ssd/ssd1/www/g.460.net.cn/vendor/topthink/think-orm/src/db/concern/WhereQuery.php ( 19.37 KB )
  121. /yingpanguazai/ssd/ssd1/www/g.460.net.cn/vendor/topthink/think-orm/src/db/concern/JoinAndViewQuery.php ( 7.11 KB )
  122. /yingpanguazai/ssd/ssd1/www/g.460.net.cn/vendor/topthink/think-orm/src/db/concern/TableFieldInfo.php ( 2.63 KB )
  123. /yingpanguazai/ssd/ssd1/www/g.460.net.cn/vendor/topthink/think-orm/src/db/concern/Transaction.php ( 2.77 KB )
  124. /yingpanguazai/ssd/ssd1/www/g.460.net.cn/vendor/topthink/framework/src/think/log/driver/File.php ( 5.96 KB )
  125. /yingpanguazai/ssd/ssd1/www/g.460.net.cn/vendor/topthink/framework/src/think/contract/LogHandlerInterface.php ( 0.86 KB )
  126. /yingpanguazai/ssd/ssd1/www/g.460.net.cn/vendor/topthink/framework/src/think/log/Channel.php ( 3.89 KB )
  127. /yingpanguazai/ssd/ssd1/www/g.460.net.cn/vendor/topthink/framework/src/think/event/LogRecord.php ( 1.02 KB )
  128. /yingpanguazai/ssd/ssd1/www/g.460.net.cn/vendor/topthink/think-helper/src/Collection.php ( 16.47 KB )
  129. /yingpanguazai/ssd/ssd1/www/g.460.net.cn/vendor/topthink/framework/src/think/facade/View.php ( 1.70 KB )
  130. /yingpanguazai/ssd/ssd1/www/g.460.net.cn/vendor/topthink/framework/src/think/View.php ( 4.39 KB )
  131. /yingpanguazai/ssd/ssd1/www/g.460.net.cn/vendor/topthink/framework/src/think/Response.php ( 8.81 KB )
  132. /yingpanguazai/ssd/ssd1/www/g.460.net.cn/vendor/topthink/framework/src/think/response/View.php ( 3.29 KB )
  133. /yingpanguazai/ssd/ssd1/www/g.460.net.cn/vendor/topthink/framework/src/think/Cookie.php ( 6.06 KB )
  134. /yingpanguazai/ssd/ssd1/www/g.460.net.cn/vendor/topthink/think-view/src/Think.php ( 8.38 KB )
  135. /yingpanguazai/ssd/ssd1/www/g.460.net.cn/vendor/topthink/framework/src/think/contract/TemplateHandlerInterface.php ( 1.60 KB )
  136. /yingpanguazai/ssd/ssd1/www/g.460.net.cn/vendor/topthink/think-template/src/Template.php ( 46.61 KB )
  137. /yingpanguazai/ssd/ssd1/www/g.460.net.cn/vendor/topthink/think-template/src/template/driver/File.php ( 2.41 KB )
  138. /yingpanguazai/ssd/ssd1/www/g.460.net.cn/vendor/topthink/think-template/src/template/contract/DriverInterface.php ( 0.86 KB )
  139. /yingpanguazai/ssd/ssd1/www/g.460.net.cn/runtime/temp/7db628ece5cde31a650a24dcfebdbd9e.php ( 11.98 KB )
  140. /yingpanguazai/ssd/ssd1/www/g.460.net.cn/vendor/topthink/think-trace/src/Html.php ( 4.42 KB )
  1. CONNECT:[ UseTime:0.000543s ] mysql:host=127.0.0.1;port=3306;dbname=g460;charset=utf8mb4
  2. SHOW FULL COLUMNS FROM `fenlei` [ RunTime:0.000515s ]
  3. SELECT * FROM `fenlei` WHERE `fid` = 0 [ RunTime:0.000247s ]
  4. SELECT * FROM `fenlei` WHERE `fid` = 63 [ RunTime:0.000270s ]
  5. SHOW FULL COLUMNS FROM `set` [ RunTime:0.000454s ]
  6. SELECT * FROM `set` [ RunTime:0.000196s ]
  7. SHOW FULL COLUMNS FROM `article` [ RunTime:0.000555s ]
  8. SELECT * FROM `article` WHERE `id` = 462384 LIMIT 1 [ RunTime:0.000444s ]
  9. UPDATE `article` SET `lasttime` = 1776442335 WHERE `id` = 462384 [ RunTime:0.005840s ]
  10. SELECT * FROM `fenlei` WHERE `id` = 66 LIMIT 1 [ RunTime:0.000318s ]
  11. SELECT * FROM `article` WHERE `id` < 462384 ORDER BY `id` DESC LIMIT 1 [ RunTime:0.000452s ]
  12. SELECT * FROM `article` WHERE `id` > 462384 ORDER BY `id` ASC LIMIT 1 [ RunTime:0.000337s ]
  13. SELECT * FROM `article` WHERE `id` < 462384 ORDER BY `id` DESC LIMIT 10 [ RunTime:0.000580s ]
  14. SELECT * FROM `article` WHERE `id` < 462384 ORDER BY `id` DESC LIMIT 10,10 [ RunTime:0.000840s ]
  15. SELECT * FROM `article` WHERE `id` < 462384 ORDER BY `id` DESC LIMIT 20,10 [ RunTime:0.004911s ]
0.084624s